Class 09

Author

Kate Ruiz (PID A17671200)

2. Importing Candy Data

candy_file <- "candy-data.csv"

candy = read.csv(candy_file, row.names=1)
head(candy)
             chocolate fruity caramel peanutyalmondy nougat crispedricewafer
100 Grand            1      0       1              0      0                1
3 Musketeers         1      0       0              0      1                0
One dime             0      0       0              0      0                0
One quarter          0      0       0              0      0                0
Air Heads            0      1       0              0      0                0
Almond Joy           1      0       0              1      0                0
             hard bar pluribus sugarpercent pricepercent winpercent
100 Grand       0   1        0        0.732        0.860   66.97173
3 Musketeers    0   1        0        0.604        0.511   67.60294
One dime        0   0        0        0.011        0.116   32.26109
One quarter     0   0        0        0.011        0.511   46.11650
Air Heads       0   0        0        0.906        0.511   52.34146
Almond Joy      0   1        0        0.465        0.767   50.34755

2.1 What is in this data set?

Q1. How many different candy types are in this dataset?

There are 85 different candies.

dim(candy)
[1] 85 12
nrow(candy)
[1] 85
sum(candy$fruity)
[1] 38

Q2. How many fruity candy types are in the dataset?

There are 38 fruity candy types in this data set.

2.2 What is your favorite candy?

candy["Twix", ]$winpercent
[1] 81.64291
library(dplyr)

Attaching package: 'dplyr'
The following objects are masked from 'package:stats':

    filter, lag
The following objects are masked from 'package:base':

    intersect, setdiff, setequal, union
candy |> 
  filter(row.names(candy)=="Twix") |> 
  select(winpercent)
     winpercent
Twix   81.64291

Q3. What is your favorite candy (other than Twix) in the dataset and what is it’s winpercent value?

The candy I chose other than Twix is Almond Joy. The winpercent value is 50.3475.

candy["Almond Joy", ]$winpercent
[1] 50.34755

Q4. What is the winpercent value for “Kit Kat”?

The winpercent value for Kit Kat is 76.7686.

candy["Kit Kat", ]$winpercent
[1] 76.7686

Q5. What is the winpercent value for “Tootsie Roll Snack Bars”?

The winpercent value for tootsie roll snack bars is 49.6535.

candy["Tootsie Roll Snack Bars", ]$winpercent
[1] 49.6535

side note: the skimr::skim() function

library("skimr")
skim(candy)
Data summary
Name candy
Number of rows 85
Number of columns 12
_______________________
Column type frequency:
numeric 12
________________________
Group variables None

Variable type: numeric

skim_variable n_missing complete_rate mean sd p0 p25 p50 p75 p100 hist
chocolate 0 1 0.44 0.50 0.00 0.00 0.00 1.00 1.00 ▇▁▁▁▆
fruity 0 1 0.45 0.50 0.00 0.00 0.00 1.00 1.00 ▇▁▁▁▆
caramel 0 1 0.16 0.37 0.00 0.00 0.00 0.00 1.00 ▇▁▁▁▂
peanutyalmondy 0 1 0.16 0.37 0.00 0.00 0.00 0.00 1.00 ▇▁▁▁▂
nougat 0 1 0.08 0.28 0.00 0.00 0.00 0.00 1.00 ▇▁▁▁▁
crispedricewafer 0 1 0.08 0.28 0.00 0.00 0.00 0.00 1.00 ▇▁▁▁▁
hard 0 1 0.18 0.38 0.00 0.00 0.00 0.00 1.00 ▇▁▁▁▂
bar 0 1 0.25 0.43 0.00 0.00 0.00 0.00 1.00 ▇▁▁▁▂
pluribus 0 1 0.52 0.50 0.00 0.00 1.00 1.00 1.00 ▇▁▁▁▇
sugarpercent 0 1 0.48 0.28 0.01 0.22 0.47 0.73 0.99 ▇▇▇▇▆
pricepercent 0 1 0.47 0.29 0.01 0.26 0.47 0.65 0.98 ▇▇▇▇▆
winpercent 0 1 50.32 14.71 22.45 39.14 47.83 59.86 84.18 ▃▇▆▅▂

Q6. Is there any variable/column that looks to be on a different scale to the majority of the other columns in the dataset?

winpercent seems to be on a different scale. It looks like a percentage as opposed to a proportion.

Q7. What do you think a zero and one represent for the candy$chocolate column?

I think it’s a binary for yes and no. 0 is likely no and 1 is likely yes.

skim(candy$chocolate)
Data summary
Name candy$chocolate
Number of rows 85
Number of columns 1
_______________________
Column type frequency:
numeric 1
________________________
Group variables None

Variable type: numeric

skim_variable n_missing complete_rate mean sd p0 p25 p50 p75 p100 hist
data 0 1 0.44 0.5 0 0 0 1 1 ▇▁▁▁▆

3 Exploratory Analysis

Q8. Plot a histogram of winpercent values using both base R an ggplot2.

hist(candy$winpercent)

library(ggplot2)
ggplot(candy, aes(x=winpercent)) +
  geom_histogram()
`stat_bin()` using `bins = 30`. Pick better value `binwidth`.

Q9. Is the distribution of winpercent values symmetrical?

It does not look very symmetrical. It looks skewed to the right.

Q10. Is the center of the distribution above or below 50%?

median(candy$winpercent)
[1] 47.82975

The center of the distribution is below 50% at 47.83%.

Q11. On average is chocolate candy higher or lower ranked than fruit candy?

fruity_candy <- candy$winpercent[as.logical(candy$fruity)]
chocolate_candy <- candy$winpercent[as.logical(candy$chocolate)]
mean(fruity_candy)
[1] 44.11974
mean(chocolate_candy)
[1] 60.92153

On average, chocolate candy is more highly ranked (60.92%) than fruity candy (44.12%).

Q12. Is this difference statistically significant?

t.test(chocolate_candy, fruity_candy)

    Welch Two Sample t-test

data:  chocolate_candy and fruity_candy
t = 6.2582, df = 68.882, p-value = 2.871e-08
alternative hypothesis: true difference in means is not equal to 0
95 percent confidence interval:
 11.44563 22.15795
sample estimates:
mean of x mean of y 
 60.92153  44.11974 

The difference is statistically significant as the p value is less than or equal to .05 (p=2.871e-08).

4 Overall Candy Rankings

Q13. What are the five least liked candy types in this set?

The five least liked candy types in this set are Nik L Nip, Boston Baked Beans, Chiclets, Super Bubble, and Jawbusters.

candy |> arrange(winpercent) |> head(5)
                   chocolate fruity caramel peanutyalmondy nougat
Nik L Nip                  0      1       0              0      0
Boston Baked Beans         0      0       0              1      0
Chiclets                   0      1       0              0      0
Super Bubble               0      1       0              0      0
Jawbusters                 0      1       0              0      0
                   crispedricewafer hard bar pluribus sugarpercent pricepercent
Nik L Nip                         0    0   0        1        0.197        0.976
Boston Baked Beans                0    0   0        1        0.313        0.511
Chiclets                          0    0   0        1        0.046        0.325
Super Bubble                      0    0   0        0        0.162        0.116
Jawbusters                        0    1   0        1        0.093        0.511
                   winpercent
Nik L Nip            22.44534
Boston Baked Beans   23.41782
Chiclets             24.52499
Super Bubble         27.30386
Jawbusters           28.12744

Q14. What are the top 5 all time favorite candy types out of this set?

The 5 all time favorite candies out of this data set are Snickers, Kit Kat, Twix, Reese’s Miniatures, and Reese’s Peanut Butter cup.

candy |> arrange(winpercent) |> tail(5)
                          chocolate fruity caramel peanutyalmondy nougat
Snickers                          1      0       1              1      1
Kit Kat                           1      0       0              0      0
Twix                              1      0       1              0      0
Reese's Miniatures                1      0       0              1      0
Reese's Peanut Butter cup         1      0       0              1      0
                          crispedricewafer hard bar pluribus sugarpercent
Snickers                                 0    0   1        0        0.546
Kit Kat                                  1    0   1        0        0.313
Twix                                     1    0   1        0        0.546
Reese's Miniatures                       0    0   0        0        0.034
Reese's Peanut Butter cup                0    0   0        0        0.720
                          pricepercent winpercent
Snickers                         0.651   76.67378
Kit Kat                          0.511   76.76860
Twix                             0.906   81.64291
Reese's Miniatures               0.279   81.86626
Reese's Peanut Butter cup        0.651   84.18029

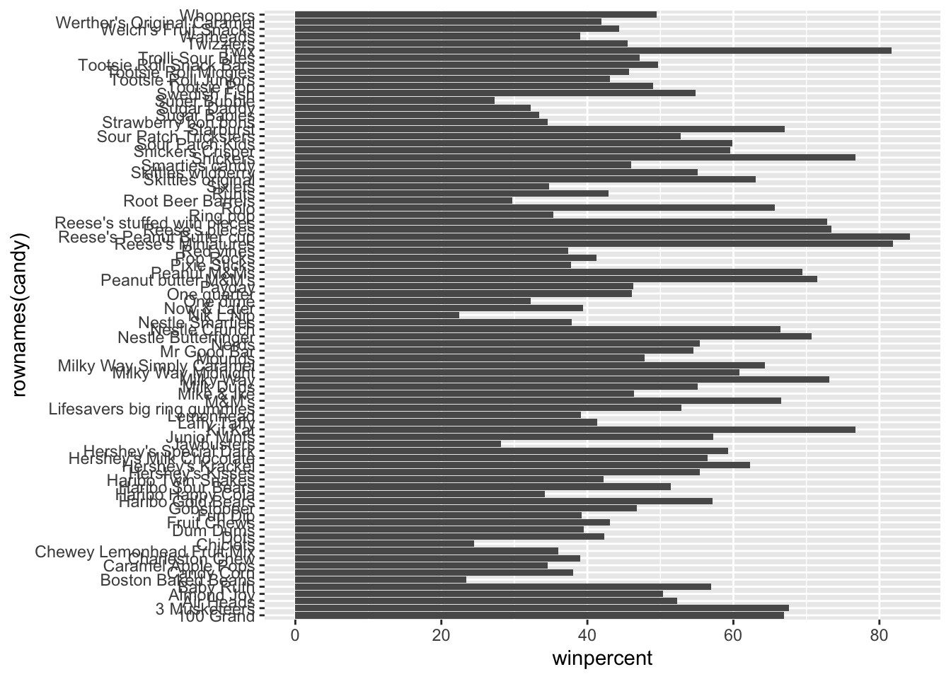
Q15.Make a first barplot of candy ranking based on winpercent values.

library(ggplot2)

ggplot(candy) + 
  aes(winpercent, rownames(candy)) +
  geom_col()

Q16. This is quite ugly, use the reorder() function to get the bars sorted by winpercent?

ggplot(candy) + 
  aes(winpercent, reorder(rownames(candy),winpercent)) +
  geom_col() + 
  theme(axis.text.y = element_text(size = 3))

4.1 Time to add some useful color

my_cols=rep("black", nrow(candy))
my_cols[as.logical(candy$chocolate)] = "chocolate"
my_cols[as.logical(candy$bar)] = "brown"
my_cols[as.logical(candy$fruity)] = "pink"
ggplot(candy) + 
  aes(winpercent, reorder(rownames(candy),winpercent)) +
  geom_col(fill=my_cols) +
  theme(axis.text.y = element_text(size = 3))

Q17. What is the worst ranked chocolate candy?

The worst ranked chocolate candy are sixlets. > Q18. What is the best ranked fruity candy?

The best ranked fruity candy are starburst.

5 Taking a look at pricepercent

library(ggrepel)

# How about a plot of win vs price
ggplot(candy) +
  aes(winpercent, pricepercent, label=rownames(candy)) +
  geom_point(col=my_cols) + 
  geom_text_repel(col=my_cols, size=3.3, max.overlaps = 5)
Warning: ggrepel: 50 unlabeled data points (too many overlaps). Consider
increasing max.overlaps

Q19. Which candy type is the highest ranked in terms of winpercent for the least money - i.e. offers the most bang for your buck?

Tootsie Roll Midgies have the highest winpercent for the lowest pricepercent.

best <- candy$winpercent / candy$pricepercent

candy[which.max(best), c("winpercent", "pricepercent")]
                     winpercent pricepercent
Tootsie Roll Midgies   45.73675        0.011

Q20. What are the top 5 most expensive candy types in the dataset and of these which is the least popular?

The tip 5 most expensive candy types are Nik L Nip, Nestle Smarties, Ring Pop, Hershey’s Krackel, and Hershey’s Milk Chocolate. Of these the least popular is Nik L Nip.

ord <- order(candy$pricepercent, decreasing = TRUE)
head( candy[ord,c(11,12)], n=5 )
                         pricepercent winpercent
Nik L Nip                       0.976   22.44534
Nestle Smarties                 0.976   37.88719
Ring pop                        0.965   35.29076
Hershey's Krackel               0.918   62.28448
Hershey's Milk Chocolate        0.918   56.49050

6 Exploring the correlation structure

library(corrplot)
corrplot 0.95 loaded
cij <- cor(candy)
corrplot(cij)

Q22. Examining this plot what two variables are anti-correlated (i.e. have minus values)?

It seems like fruity and a variety of things. Of note are fruity and chocolate, fruity and bar, and pluribus and bar (among others). > Q23. Similarly, what two variables are most positively correlated?

It looks like it would be chocolate and bar. It seems many chocolate + XX pairs are blue (positively correlated).

7 Principal Component Analysis

pca <- prcomp(candy, scale = TRUE)
summary(pca)
Importance of components:
                          PC1    PC2    PC3     PC4    PC5     PC6     PC7
Standard deviation     2.0788 1.1378 1.1092 1.07533 0.9518 0.81923 0.81530
Proportion of Variance 0.3601 0.1079 0.1025 0.09636 0.0755 0.05593 0.05539
Cumulative Proportion  0.3601 0.4680 0.5705 0.66688 0.7424 0.79830 0.85369
                           PC8     PC9    PC10    PC11    PC12
Standard deviation     0.74530 0.67824 0.62349 0.43974 0.39760
Proportion of Variance 0.04629 0.03833 0.03239 0.01611 0.01317
Cumulative Proportion  0.89998 0.93832 0.97071 0.98683 1.00000
plot(pca$x[ ,1:2])

plot(pca$x[,1:2], col=my_cols, pch=16)

# Make a new data-frame with our PCA results and candy data
my_data <- cbind(candy, pca$x[,1:3])
p <- ggplot(my_data) + 
        aes(x=PC1, y=PC2, 
            size=winpercent/100,  
            text=rownames(my_data),
            label=rownames(my_data)) +
        geom_point(col=my_cols)

p

library(ggrepel)

p + geom_text_repel(size=3.3, col=my_cols, max.overlaps = 7)  + 
  theme(legend.position = "none") +
  labs(title="Halloween Candy PCA Space",
       subtitle="Colored by type: chocolate bar (dark brown), chocolate other (light brown), fruity (red), other (black)",
       caption="Data from 538")
Warning: ggrepel: 39 unlabeled data points (too many overlaps). Consider
increasing max.overlaps

library(plotly)

Attaching package: 'plotly'
The following object is masked from 'package:ggplot2':

    last_plot
The following object is masked from 'package:stats':

    filter
The following object is masked from 'package:graphics':

    layout
ggplotly(p)
ggplot(pca$rotation) +
  aes(x = PC1, y = reorder(rownames(pca$rotation), PC1)) +
  geom_col()

Q24. Complete the code to generate the loadings plot above. What original variables are picked up strongly by PC1 in the positive direction? Do these make sense to you? Where did you see this relationship highlighted previously?

In the positive direction, fruity, pluribus, and hard are picked up. It feels a little confusing. They were negatively/ anticorrelated previously.

8 Summary

Q25. Based on your exploratory analysis, correlation findings, and PCA results, what combination of characteristics appears to make a “winning” candy? How do these different analyses (visualization, correlation, PCA) support or complement each other in reaching this conclusion?

The winning candy has chocolate, nougat, bars, and peanutyalmondy. The visualizations allowed us to look at costs and like-ability. The correlations helped us see the best combinations that led to better liking. PCA provided predictive powers.